首页 > 信息公告 > 公示公告

冶炼公司所属牛山商务大厦部分房屋招租公告

发布时间:2023-01-09 15:50:16浏览次数:

经冶炼公司研究,将本单位所属牛山商务大厦部分房屋对外公开招租,为体现公平、公正、公开原则,现就有关招租事项公告如下:

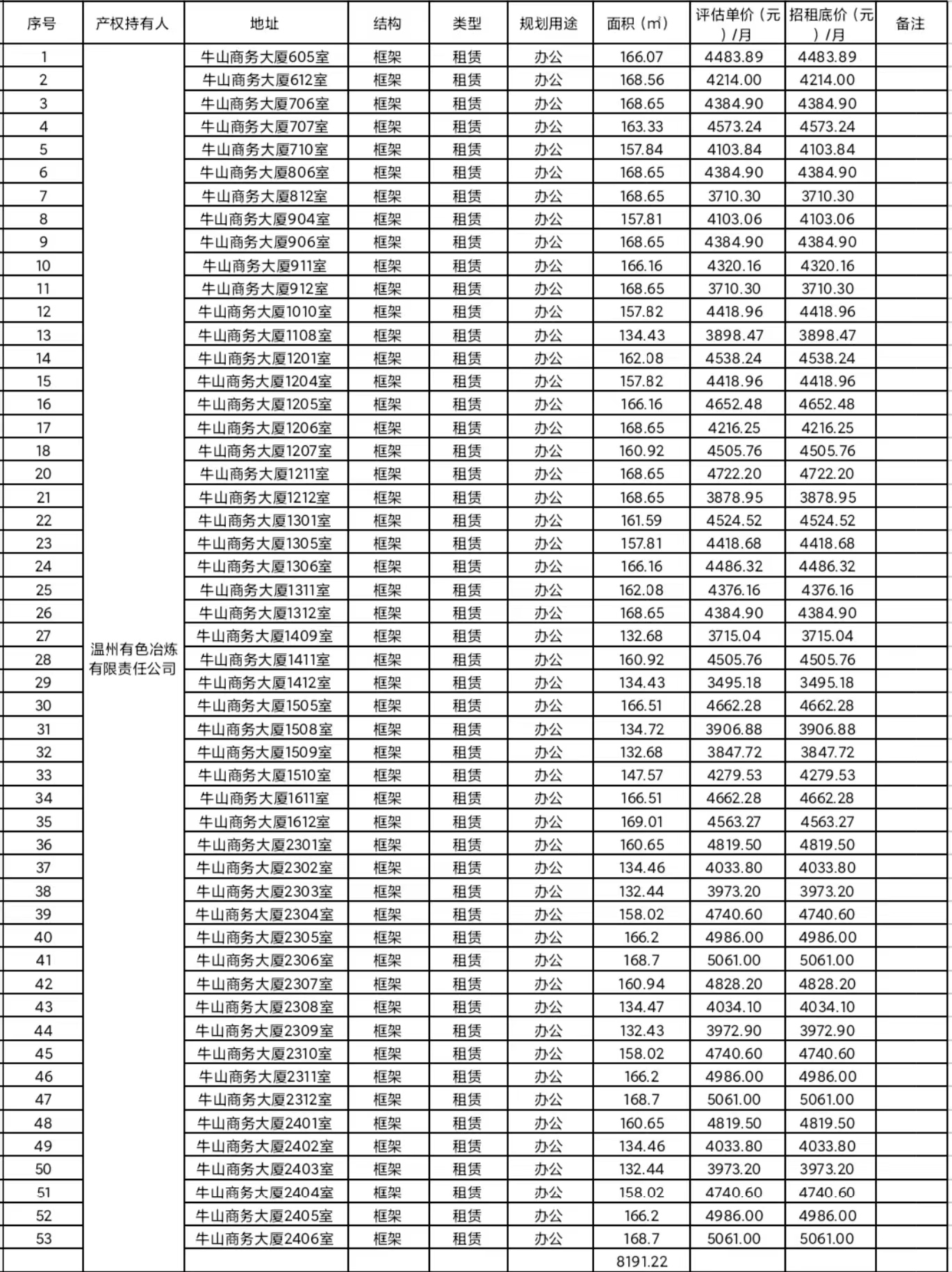
一、 该批房屋招租情况:

二、租赁期限:牛山商务大厦房屋租期为3年,最终起始日以实际交付日为准。

三、招租对象及承租人的确定:符合国家法律法规要求的企业或个人,经本单位审核确认的意向单位,通过投标形式最终确定承租人,在同等条件下,原承租方有优先租赁权。

四、竞租底价及竞租保证金:参与竞租单位或个人须在竞租前预交不计息竞租保证金 牛山商务大厦房屋竞租保证金为每间壹万伍仟元,每年租金递增3%;租金半年一付,先付后用,出租方提供租金发票(含税)。

五、公开招租相关事项:

本次招租项目不得用于私人高档会所使用,公告期为公告第二个工作日10个工作日止,意向承租人须到到鹿城区牛山北路13号牛山商务大厦2520室(温州有色冶炼有限责任公司企管部)办理报名相关手续及缴纳竞价保证金。

1、公告期内产生意向承租人的,意向承租人于公告期结束后的第一个工作日上午9:00时参加由出租方组织的增价式竞价会, 如有两个或两个以上的意向承租方,采用“价高者得”的原则确定中标人;若有效投标人报价仅为一家的,报价结果有效,投标人报价不得低于招租底价,否则报价无效。

2、若公告期内,未征集到合格承租方,则延长信息发布:不变更公告条件,按照10个工作日为一个周期延长3个周期,直至征集到意向承租方。开标日期为每轮公告结束后的第一个工作日下午14:00时。

、其他:租赁期间,招租人有权将租赁的物业(房屋)进行销售,承租人须无条件接受,但不影响合同期限内承租人对该物业(房屋)的使用,在同等条件下,承租人享有优先购买权。

联系电话:85551838   联系人:黄先生

联系地点:温州市鹿城区牛山北路13号牛山商务大厦2520

温州有色冶炼有限责任公司

 2022817